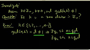
What are zero divisors in the ring of integers dodulo 6?||What are the zero divisors in Z Mod 6?

Tonton & Download Video Musik Gratis

⬇ DOWNLOAD NOW
Kalau muncul iklan pop-up, tutup lalu klik tombol kembali

Download lagu What are zero divisors in the ring of integers dodulo 6?||What are the zero divisors in Z Mod 6? secara gratis hanya untuk keperluan promosi. Dukung artis favorit kamu dengan membeli musik original di iTunes atau platform resmi lainnya.