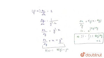
Let y = y(x) be the solution curve of the differential equation, , satisfying y(0) = 1. This curve

Tonton & Download Video Musik Gratis

⬇ DOWNLOAD NOW
Kalau muncul iklan pop-up, tutup lalu klik tombol kembali

Download lagu Let y = y(x) be the solution curve of the differential equation, , satisfying y(0) = 1. This curve secara gratis hanya untuk keperluan promosi. Dukung artis favorit kamu dengan membeli musik original di iTunes atau platform resmi lainnya.