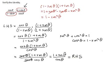
(1-cos⁡θ)/sin⁡θ =sin⁡θ/(1+cos⁡θ ) Q1 Trigonometric Identities Made Simple Rediscover Algebra

Tonton & Download Video Musik Gratis

⬇ DOWNLOAD NOW
Kalau muncul iklan pop-up, tutup lalu klik tombol kembali

Download lagu (1-cos⁡θ)/sin⁡θ =sin⁡θ/(1+cos⁡θ ) Q1 Trigonometric Identities Made Simple Rediscover Algebra secara gratis hanya untuk keperluan promosi. Dukung artis favorit kamu dengan membeli musik original di iTunes atau platform resmi lainnya.