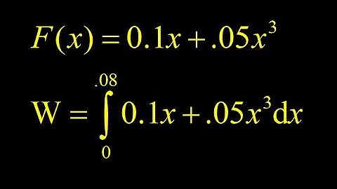
3.2-17 Potential Energy of a Nonlinear Spring at an Arbitrary Position

Tonton & Download Video Musik Gratis

⬇ DOWNLOAD NOW
Kalau muncul iklan pop-up, tutup lalu klik tombol kembali

Download lagu 3.2-17 Potential Energy of a Nonlinear Spring at an Arbitrary Position secara gratis hanya untuk keperluan promosi. Dukung artis favorit kamu dengan membeli musik original di iTunes atau platform resmi lainnya.