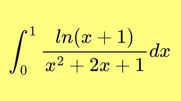
The Integral Looked Very Nice Until I Tried to Integrate It || University Calculus Lecture

Tonton & Download Video Musik Gratis

⬇ DOWNLOAD NOW
Kalau muncul iklan pop-up, tutup lalu klik tombol kembali

Download lagu The Integral Looked Very Nice Until I Tried to Integrate It || University Calculus Lecture secara gratis hanya untuk keperluan promosi. Dukung artis favorit kamu dengan membeli musik original di iTunes atau platform resmi lainnya.