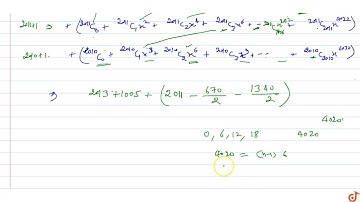
Find number of different dissimilar terms in the sum (1+x)^2012+(1+x^2)^2011+(1+x^3)^2010.W

Tonton & Download Video Musik Gratis

⬇ DOWNLOAD NOW
Kalau muncul iklan pop-up, tutup lalu klik tombol kembali

Download lagu Find number of different dissimilar terms in the sum (1+x)^2012+(1+x^2)^2011+(1+x^3)^2010.W secara gratis hanya untuk keperluan promosi. Dukung artis favorit kamu dengan membeli musik original di iTunes atau platform resmi lainnya.