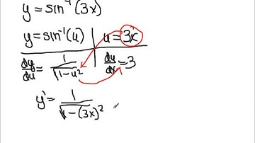
Differentiate Tan Inverse of Square Root Trig Function by Substitution

Tonton & Download Video Musik Gratis

⬇ DOWNLOAD NOW
Kalau muncul iklan pop-up, tutup lalu klik tombol kembali

Download lagu Differentiate Tan Inverse of Square Root Trig Function by Substitution secara gratis hanya untuk keperluan promosi. Dukung artis favorit kamu dengan membeli musik original di iTunes atau platform resmi lainnya.