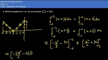
Sketch the graph of \( y=|x+3| \) and evaluate \( \int_{-6}^{0}|x+3| d x \). \( \mathrm{P} \) VV

Tonton & Download Video Musik Gratis

⬇ DOWNLOAD NOW
Kalau muncul iklan pop-up, tutup lalu klik tombol kembali

Download lagu Sketch the graph of \( y=|x+3| \) and evaluate \( \int_{-6}^{0}|x+3| d x \). \( \mathrm{P} \) VV secara gratis hanya untuk keperluan promosi. Dukung artis favorit kamu dengan membeli musik original di iTunes atau platform resmi lainnya.