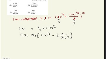
The maximum value of the term independent of t in the expansion of (〖tx〗^(1/5)+(1-x)^(1/10)/t)^10,..

Tonton & Download Video Musik Gratis

⬇ DOWNLOAD NOW
Kalau muncul iklan pop-up, tutup lalu klik tombol kembali

Download lagu The maximum value of the term independent of t in the expansion of (〖tx〗^(1/5)+(1-x)^(1/10)/t)^10,.. secara gratis hanya untuk keperluan promosi. Dukung artis favorit kamu dengan membeli musik original di iTunes atau platform resmi lainnya.