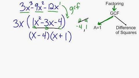
Factoring Polynomials when using Multiple Methods are Necessary - J. Cornett

Tonton & Download Video Musik Gratis

⬇ DOWNLOAD NOW
Kalau muncul iklan pop-up, tutup lalu klik tombol kembali

Download lagu Factoring Polynomials when using Multiple Methods are Necessary - J. Cornett secara gratis hanya untuk keperluan promosi. Dukung artis favorit kamu dengan membeli musik original di iTunes atau platform resmi lainnya.