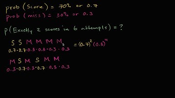
Probability of making 2 shots in 6 attempts | Probability and Statistics | Khan Academy

Tonton & Download Video Musik Gratis

⬇ DOWNLOAD NOW
Kalau muncul iklan pop-up, tutup lalu klik tombol kembali

Download lagu Probability of making 2 shots in 6 attempts | Probability and Statistics | Khan Academy secara gratis hanya untuk keperluan promosi. Dukung artis favorit kamu dengan membeli musik original di iTunes atau platform resmi lainnya.