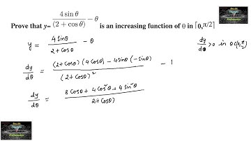
Show that f(x)=(4sinx /(2+cosx ))-x is an increasing function of x in [0, π/2] #cbseclass12 #cbse

Tonton & Download Video Musik Gratis

⬇ DOWNLOAD NOW
Kalau muncul iklan pop-up, tutup lalu klik tombol kembali

Download lagu Show that f(x)=(4sinx /(2+cosx ))-x is an increasing function of x in [0, π/2] #cbseclass12 #cbse secara gratis hanya untuk keperluan promosi. Dukung artis favorit kamu dengan membeli musik original di iTunes atau platform resmi lainnya.