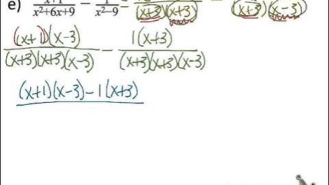
Algebra II - 8.5 (DAY 1) Adding and Subtracting Complex Fractions

Tonton & Download Video Musik Gratis

⬇ DOWNLOAD NOW
Kalau muncul iklan pop-up, tutup lalu klik tombol kembali

Download lagu Algebra II - 8.5 (DAY 1) Adding and Subtracting Complex Fractions secara gratis hanya untuk keperluan promosi. Dukung artis favorit kamu dengan membeli musik original di iTunes atau platform resmi lainnya.