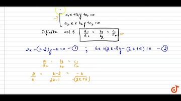
Find the value of ltmath gt ltmi gtk lt/mi gt lt/math gt for which following system of e

Tonton & Download Video Musik Gratis

⬇ DOWNLOAD NOW
Kalau muncul iklan pop-up, tutup lalu klik tombol kembali

Download lagu Find the value of ltmath gt ltmi gtk lt/mi gt lt/math gt for which following system of e secara gratis hanya untuk keperluan promosi. Dukung artis favorit kamu dengan membeli musik original di iTunes atau platform resmi lainnya.