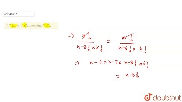
If \( { }^{20} C_{r}={ }^{20} C_{r}-10 \), then \( { }^{18} C_{r} \) is equal to (A) 4896 (B) 81...

Tonton & Download Video Musik Gratis

тмЗ DOWNLOAD NOW
Kalau muncul iklan pop-up, tutup lalu klik tombol kembali

Download lagu If \( { }^{20} C_{r}={ }^{20} C_{r}-10 \), then \( { }^{18} C_{r} \) is equal to (A) 4896 (B) 81... secara gratis hanya untuk keperluan promosi. Dukung artis favorit kamu dengan membeli musik original di iTunes atau platform resmi lainnya.