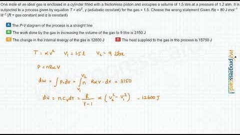
, , One mole of an ideal gas is contained with in a cylinder by a frictionless piston and is init...

Tonton & Download Video Musik Gratis

⬇ DOWNLOAD NOW
Kalau muncul iklan pop-up, tutup lalu klik tombol kembali

Download lagu , , One mole of an ideal gas is contained with in a cylinder by a frictionless piston and is init... secara gratis hanya untuk keperluan promosi. Dukung artis favorit kamu dengan membeli musik original di iTunes atau platform resmi lainnya.