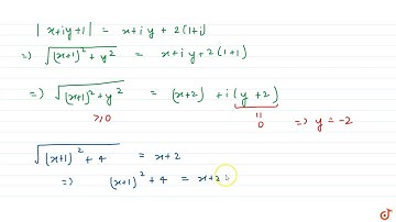
The complex number z satisfying `z + |z| = 1+ zi` then the value of `|z| ^2` is

Tonton & Download Video Musik Gratis

⬇ DOWNLOAD NOW
Kalau muncul iklan pop-up, tutup lalu klik tombol kembali

Download lagu The complex number z satisfying `z + |z| = 1+ zi` then the value of `|z| ^2` is secara gratis hanya untuk keperluan promosi. Dukung artis favorit kamu dengan membeli musik original di iTunes atau platform resmi lainnya.