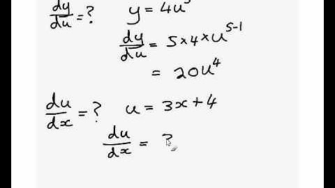
Cool small example of the chain rule!! #mcgill #mathtutoring #mathteacher #mathhelp

Tonton & Download Video Musik Gratis

⬇ DOWNLOAD NOW
Kalau muncul iklan pop-up, tutup lalu klik tombol kembali

Download lagu Cool small example of the chain rule!! #mcgill #mathtutoring #mathteacher #mathhelp secara gratis hanya untuk keperluan promosi. Dukung artis favorit kamu dengan membeli musik original di iTunes atau platform resmi lainnya.