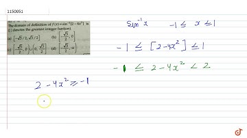
Find the domain of the following. f(x)=sin ^-1(2-3[x]/4), which [.] denotes the greatest integer ...

Tonton & Download Video Musik Gratis

โฌ‡ DOWNLOAD NOW
Kalau muncul iklan pop-up, tutup lalu klik tombol kembali

Download lagu Find the domain of the following. f(x)=sin ^-1(2-3[x]/4), which [.] denotes the greatest integer ... secara gratis hanya untuk keperluan promosi. Dukung artis favorit kamu dengan membeli musik original di iTunes atau platform resmi lainnya.