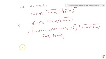
13. If (a + ib) (c + id) (e + if) (g + ih) = A + iB, then show that(a2 + b2) (c2 + d2)

Tonton & Download Video Musik Gratis

⬇ DOWNLOAD NOW
Kalau muncul iklan pop-up, tutup lalu klik tombol kembali

Download lagu 13. If (a + ib) (c + id) (e + if) (g + ih) = A + iB, then show that(a2 + b2) (c2 + d2) secara gratis hanya untuk keperluan promosi. Dukung artis favorit kamu dengan membeli musik original di iTunes atau platform resmi lainnya.