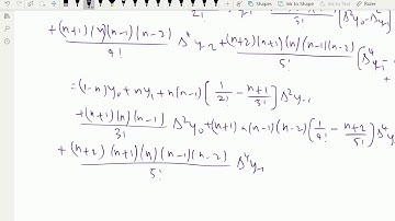
Introduction to Laplace Everett's Formula|Numerical Methods|BBA|BCA|B.COM|B.TECH|Dream Maths

Tonton & Download Video Musik Gratis

⬇ DOWNLOAD NOW
Kalau muncul iklan pop-up, tutup lalu klik tombol kembali

Download lagu Introduction to Laplace Everett's Formula|Numerical Methods|BBA|BCA|B.COM|B.TECH|Dream Maths secara gratis hanya untuk keperluan promosi. Dukung artis favorit kamu dengan membeli musik original di iTunes atau platform resmi lainnya.