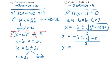
Common Core Algebra II.Unit 9.Lesson 3.Solving Quadratic Equations with Complex Solutions

Tonton & Download Video Musik Gratis

⬇ DOWNLOAD NOW
Kalau muncul iklan pop-up, tutup lalu klik tombol kembali

Download lagu Common Core Algebra II.Unit 9.Lesson 3.Solving Quadratic Equations with Complex Solutions secara gratis hanya untuk keperluan promosi. Dukung artis favorit kamu dengan membeli musik original di iTunes atau platform resmi lainnya.