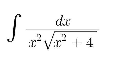
Integral of 1/(x^2*sqrt(x^2 + 4)) dx by using trigonometric substitution

Tonton & Download Video Musik Gratis

⬇ DOWNLOAD NOW
Kalau muncul iklan pop-up, tutup lalu klik tombol kembali

Download lagu Integral of 1/(x^2*sqrt(x^2 + 4)) dx by using trigonometric substitution secara gratis hanya untuk keperluan promosi. Dukung artis favorit kamu dengan membeli musik original di iTunes atau platform resmi lainnya.