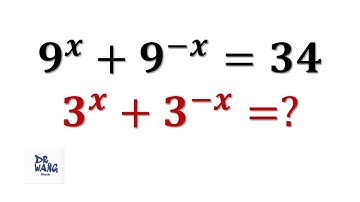
Math Olympiad | How to Think Outside the Box? | calculate 3^x + 3^-x , 9^x + 9^-x = 34

Tonton & Download Video Musik Gratis

⬇ DOWNLOAD NOW
Kalau muncul iklan pop-up, tutup lalu klik tombol kembali

Download lagu Math Olympiad | How to Think Outside the Box? | calculate 3^x + 3^-x , 9^x + 9^-x = 34 secara gratis hanya untuk keperluan promosi. Dukung artis favorit kamu dengan membeli musik original di iTunes atau platform resmi lainnya.