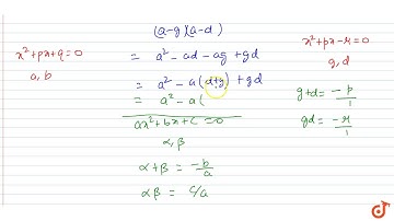
If a, b are the roots of x^2+px+1=0 and c, d are the roots of x^2+qx+1=0. Then find the value of ...

Tonton & Download Video Musik Gratis

⬇ DOWNLOAD NOW
Kalau muncul iklan pop-up, tutup lalu klik tombol kembali

Download lagu If a, b are the roots of x^2+px+1=0 and c, d are the roots of x^2+qx+1=0. Then find the value of ... secara gratis hanya untuk keperluan promosi. Dukung artis favorit kamu dengan membeli musik original di iTunes atau platform resmi lainnya.