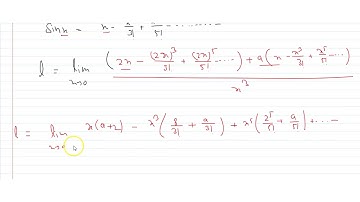
If `lim_(x- gto) (sin2x+asinx)/x^3` be finite, then the value a and the limit are respectivel...

Tonton & Download Video Musik Gratis

⬇ DOWNLOAD NOW
Kalau muncul iklan pop-up, tutup lalu klik tombol kembali

Download lagu If `lim_(x- gto) (sin2x+asinx)/x^3` be finite, then the value a and the limit are respectivel... secara gratis hanya untuk keperluan promosi. Dukung artis favorit kamu dengan membeli musik original di iTunes atau platform resmi lainnya.