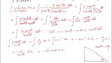
Let x=3sin(theta) trig substitution integral 1/(9-x^2)^(3/2). Tangent of inverse sine at the end.

Tonton & Download Video Musik Gratis

⬇ DOWNLOAD NOW
Kalau muncul iklan pop-up, tutup lalu klik tombol kembali

Download lagu Let x=3sin(theta) trig substitution integral 1/(9-x^2)^(3/2). Tangent of inverse sine at the end. secara gratis hanya untuk keperluan promosi. Dukung artis favorit kamu dengan membeli musik original di iTunes atau platform resmi lainnya.