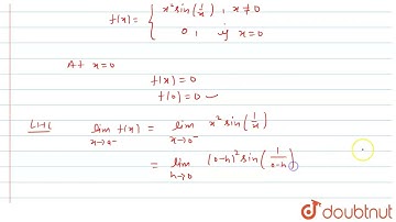
Determine if f defined by `f(x)={x^2sin1/x , ifx!=0 0, ifx=0`...

Tonton & Download Video Musik Gratis

⬇ DOWNLOAD NOW
Kalau muncul iklan pop-up, tutup lalu klik tombol kembali

Download lagu Determine if f defined by `f(x)={x^2sin1/x , ifx!=0 0, ifx=0`... secara gratis hanya untuk keperluan promosi. Dukung artis favorit kamu dengan membeli musik original di iTunes atau platform resmi lainnya.