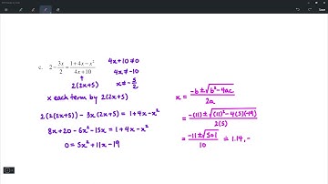
21-22 Math 3 HW #6 Solving Rational Equations Part 2 #1-9 Odd

Tonton & Download Video Musik Gratis

⬇ DOWNLOAD NOW
Kalau muncul iklan pop-up, tutup lalu klik tombol kembali

Download lagu 21-22 Math 3 HW #6 Solving Rational Equations Part 2 #1-9 Odd secara gratis hanya untuk keperluan promosi. Dukung artis favorit kamu dengan membeli musik original di iTunes atau platform resmi lainnya.