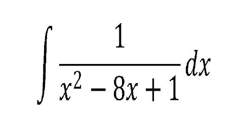
La Primitive 4: Déterminer, sans utiliser le changement de variable ni l'intégration par parties.

Tonton & Download Video Musik Gratis

⬇ DOWNLOAD NOW
Kalau muncul iklan pop-up, tutup lalu klik tombol kembali

Download lagu La Primitive 4: Déterminer, sans utiliser le changement de variable ni l'intégration par parties. secara gratis hanya untuk keperluan promosi. Dukung artis favorit kamu dengan membeli musik original di iTunes atau platform resmi lainnya.