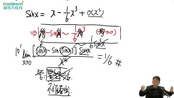
微積分:第四章 1 泰勒展開式 -- ch4 tylor

Tonton & Download Video Musik Gratis

⬇ DOWNLOAD NOW
Kalau muncul iklan pop-up, tutup lalu klik tombol kembali

Download lagu 微積分:第四章 1 泰勒展開式 -- ch4 tylor secara gratis hanya untuk keperluan promosi. Dukung artis favorit kamu dengan membeli musik original di iTunes atau platform resmi lainnya.