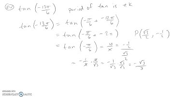
Math 2-Pre-Calculus: Section 6.3 Properties of Trigonometric Functions

Tonton & Download Video Musik Gratis

⬇ DOWNLOAD NOW
Kalau muncul iklan pop-up, tutup lalu klik tombol kembali

Download lagu Math 2-Pre-Calculus: Section 6.3 Properties of Trigonometric Functions secara gratis hanya untuk keperluan promosi. Dukung artis favorit kamu dengan membeli musik original di iTunes atau platform resmi lainnya.