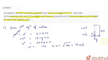
An object is thrown vertically upwards and rises to a height of 10m. calculate (i) the velocity with

Tonton & Download Video Musik Gratis

⬇ DOWNLOAD NOW
Kalau muncul iklan pop-up, tutup lalu klik tombol kembali

Download lagu An object is thrown vertically upwards and rises to a height of 10m. calculate (i) the velocity with secara gratis hanya untuk keperluan promosi. Dukung artis favorit kamu dengan membeli musik original di iTunes atau platform resmi lainnya.