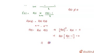
A function `f: RvecR` satisfies that equation `f(x+y)=f(x)f(y)` for all `x , y in R ,f(x)!=0.` S...

Tonton & Download Video Musik Gratis

โฌ‡ DOWNLOAD NOW
Kalau muncul iklan pop-up, tutup lalu klik tombol kembali

Download lagu A function `f: RvecR` satisfies that equation `f(x+y)=f(x)f(y)` for all `x , y in R ,f(x)!=0.` S... secara gratis hanya untuk keperluan promosi. Dukung artis favorit kamu dengan membeli musik original di iTunes atau platform resmi lainnya.