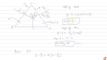
In triangle ABC, the coordinates of the vertex A are , (4,-1) and lines x - y - 1 = 0and 2x - y...

Tonton & Download Video Musik Gratis

⬇ DOWNLOAD NOW
Kalau muncul iklan pop-up, tutup lalu klik tombol kembali

Download lagu In triangle ABC, the coordinates of the vertex A are , (4,-1) and lines x - y - 1 = 0and 2x - y... secara gratis hanya untuk keperluan promosi. Dukung artis favorit kamu dengan membeli musik original di iTunes atau platform resmi lainnya.