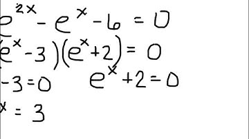
Ch. 5-4 Solving Exponential and Logarithmic Equations 4

Tonton & Download Video Musik Gratis

⬇ DOWNLOAD NOW
Kalau muncul iklan pop-up, tutup lalu klik tombol kembali

Download lagu Ch. 5-4 Solving Exponential and Logarithmic Equations 4 secara gratis hanya untuk keperluan promosi. Dukung artis favorit kamu dengan membeli musik original di iTunes atau platform resmi lainnya.