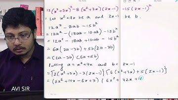
Factorise the following: 12(x²+7x)²-8(x²+7x) (2x-1)-15(2x-1)². #maths #polynomials #class9maths

Tonton & Download Video Musik Gratis

⬇ DOWNLOAD NOW
Kalau muncul iklan pop-up, tutup lalu klik tombol kembali

Download lagu Factorise the following: 12(x²+7x)²-8(x²+7x) (2x-1)-15(2x-1)². #maths #polynomials #class9maths secara gratis hanya untuk keperluan promosi. Dukung artis favorit kamu dengan membeli musik original di iTunes atau platform resmi lainnya.