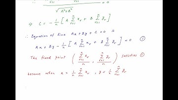
Given \( \mathrm{n} \) straight lines and a fixed point \( O \). \(...

Tonton & Download Video Musik Gratis

⬇ DOWNLOAD NOW
Kalau muncul iklan pop-up, tutup lalu klik tombol kembali

Download lagu Given \( \mathrm{n} \) straight lines and a fixed point \( O \). \(... secara gratis hanya untuk keperluan promosi. Dukung artis favorit kamu dengan membeli musik original di iTunes atau platform resmi lainnya.