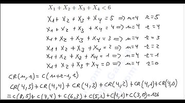
VARIACIONES, PERMUTACIONES Y COMBINACIONES (44), COMBINATORIA, EJERCICIO 56

Tonton & Download Video Musik Gratis

⬇ DOWNLOAD NOW
Kalau muncul iklan pop-up, tutup lalu klik tombol kembali

Download lagu VARIACIONES, PERMUTACIONES Y COMBINACIONES (44), COMBINATORIA, EJERCICIO 56 secara gratis hanya untuk keperluan promosi. Dukung artis favorit kamu dengan membeli musik original di iTunes atau platform resmi lainnya.