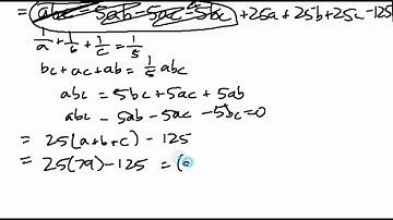
Factorization of cyclic expression a^4(b-c)+b^4(c-a)+c^4(a-b)

Tonton & Download Video Musik Gratis

⬇ DOWNLOAD NOW
Kalau muncul iklan pop-up, tutup lalu klik tombol kembali

Download lagu Factorization of cyclic expression a^4(b-c)+b^4(c-a)+c^4(a-b) secara gratis hanya untuk keperluan promosi. Dukung artis favorit kamu dengan membeli musik original di iTunes atau platform resmi lainnya.