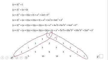
Pascal's Triangle and Combinatorial Proofs – Introduction to Mathematical Thinking

Tonton & Download Video Musik Gratis

⬇ DOWNLOAD NOW
Kalau muncul iklan pop-up, tutup lalu klik tombol kembali

Download lagu Pascal's Triangle and Combinatorial Proofs – Introduction to Mathematical Thinking secara gratis hanya untuk keperluan promosi. Dukung artis favorit kamu dengan membeli musik original di iTunes atau platform resmi lainnya.