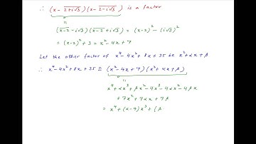
Theory of equations :solve if 2+i√3 is a root of x^4-4x^2+8x+35=0

Tonton & Download Video Musik Gratis

⬇ DOWNLOAD NOW
Kalau muncul iklan pop-up, tutup lalu klik tombol kembali

Download lagu Theory of equations :solve if 2+i√3 is a root of x^4-4x^2+8x+35=0 secara gratis hanya untuk keperluan promosi. Dukung artis favorit kamu dengan membeli musik original di iTunes atau platform resmi lainnya.