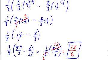
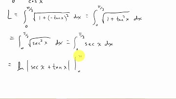
Exercise#6.3 Example#03 [Arc Length Formula of a Graph ]

Tonton & Download Video Musik Gratis

⬇ DOWNLOAD NOW
Kalau muncul iklan pop-up, tutup lalu klik tombol kembali

Download lagu Exercise#6.3 Example#03 [Arc Length Formula of a Graph ] secara gratis hanya untuk keperluan promosi. Dukung artis favorit kamu dengan membeli musik original di iTunes atau platform resmi lainnya.