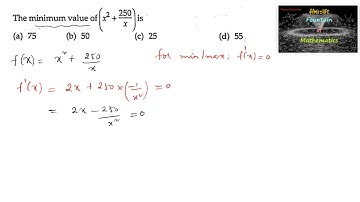
The minimum value of the function f(x)= x log x is |RD Sharma|12|Part 1|2023|AOD|CBSE|MCQ|Maxima

Tonton & Download Video Musik Gratis

⬇ DOWNLOAD NOW
Kalau muncul iklan pop-up, tutup lalu klik tombol kembali

Download lagu The minimum value of the function f(x)= x log x is |RD Sharma|12|Part 1|2023|AOD|CBSE|MCQ|Maxima secara gratis hanya untuk keperluan promosi. Dukung artis favorit kamu dengan membeli musik original di iTunes atau platform resmi lainnya.