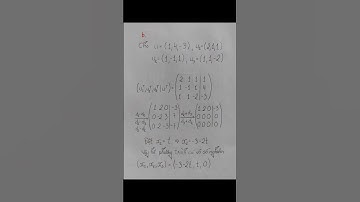
(Algera B1) Chương 3: KHÔNG GIAN VECTOR (Vector space) - Bài tập Phần 1: Bài 09

Tonton & Download Video Musik Gratis

⬇ DOWNLOAD NOW
Kalau muncul iklan pop-up, tutup lalu klik tombol kembali

Download lagu (Algera B1) Chương 3: KHÔNG GIAN VECTOR (Vector space) - Bài tập Phần 1: Bài 09 secara gratis hanya untuk keperluan promosi. Dukung artis favorit kamu dengan membeli musik original di iTunes atau platform resmi lainnya.