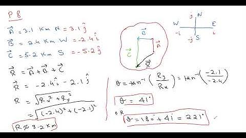
Fundamentals of Physics 10th Extended (Walker/Halliday/Resnick), Chapter 3, Problem 2 Solution

Tonton & Download Video Musik Gratis

⬇ DOWNLOAD NOW
Kalau muncul iklan pop-up, tutup lalu klik tombol kembali

Download lagu Fundamentals of Physics 10th Extended (Walker/Halliday/Resnick), Chapter 3, Problem 2 Solution secara gratis hanya untuk keperluan promosi. Dukung artis favorit kamu dengan membeli musik original di iTunes atau platform resmi lainnya.