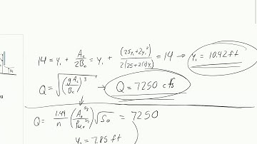
Standard Step Method for GVF and calculating unknown depth - CE 331, Class 37 (12 Apr 2023)

Tonton & Download Video Musik Gratis

⬇ DOWNLOAD NOW
Kalau muncul iklan pop-up, tutup lalu klik tombol kembali

Download lagu Standard Step Method for GVF and calculating unknown depth - CE 331, Class 37 (12 Apr 2023) secara gratis hanya untuk keperluan promosi. Dukung artis favorit kamu dengan membeli musik original di iTunes atau platform resmi lainnya.