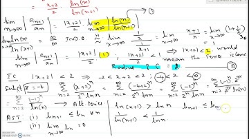
11.8.1 Find Radius of Convergence and Interval of Convergence of Power Series

Tonton & Download Video Musik Gratis

⬇ DOWNLOAD NOW
Kalau muncul iklan pop-up, tutup lalu klik tombol kembali

Download lagu 11.8.1 Find Radius of Convergence and Interval of Convergence of Power Series secara gratis hanya untuk keperluan promosi. Dukung artis favorit kamu dengan membeli musik original di iTunes atau platform resmi lainnya.