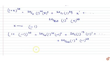
The sum of the series \( \sum_{r=0}^{10}{ }^{20} C_{r} \) is

Tonton & Download Video Musik Gratis

⬇ DOWNLOAD NOW
Kalau muncul iklan pop-up, tutup lalu klik tombol kembali

Download lagu The sum of the series \( \sum_{r=0}^{10}{ }^{20} C_{r} \) is secara gratis hanya untuk keperluan promosi. Dukung artis favorit kamu dengan membeli musik original di iTunes atau platform resmi lainnya.