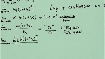
Determine if L'Hopital's Rule Can Be Applied to a Limit (Ex 2)

Tonton & Download Video Musik Gratis

⬇ DOWNLOAD NOW
Kalau muncul iklan pop-up, tutup lalu klik tombol kembali

Download lagu Determine if L'Hopital's Rule Can Be Applied to a Limit (Ex 2) secara gratis hanya untuk keperluan promosi. Dukung artis favorit kamu dengan membeli musik original di iTunes atau platform resmi lainnya.